[상하수도 기술사 제138회 대비] 속도경사(G)
2025. 12. 28. 07:59ㆍ상하수도 기술사
반응형
1. 개요
1) 혼화지 및 플럭형성지의 설계 및 운전 인자
2) 단위 길이당 속도 변화율(dv/dy) 의미
3) 유선 중의 속도가 다른 입자들을 상호 충돌 및 결합시켜 대형 플럭 형성 유도
2. 속도경사의 개념
1) 속도경사

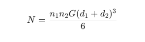
2) 입자 충돌 횟수(N)와의 관계(Camp & Stern 식)

※ 입자의 충돌 횟수는 입자의 직경과 교반 강도가 클수록 증가, 점성계수가 클수록 감소(동절기 불리)
3. 공정별 적정 속도경사(G) 및 교반시간(T) 기준
| 구분 | 속도경사(G, sec^-1) | 교반시간(T, sec) | 비고 |
| 급속혼화 | 1,000~1500(최대 5,000) | 1초 이내 | 전하 중하 유도 |
| 일반혼화 | 300 ~ 800 | 20 ~ 40 | 금속수산화물 형성 후 흡착 |
| 플록형성 | 20 ~ 75 | 20~40분 | 과도한 G는 플록 파괴 유발 |
4. 결론
1) 플록형성지는 점감식 응집 적용(G값 단계적 감소 75 -> 45 -> 20)
2) 동절기 점섬계수 증가 응집 효율 저하됨에 따라 응집제 주입률 조정 및 교반 강도 상향 등의 운영 최적화 필요
반응형
'상하수도 기술사' 카테고리의 다른 글
| [상하수도 기술사 제138회 대비] TOC(총유기탄소) (0) | 2025.12.28 |
|---|---|
| [상하수도 기술사 제138회 대비] 1. 도시침수 예방을 위한 대심도 빗물터널(Deep Tunnel) 계획 및 설계 시 고려사항 (0) | 2025.11.29 |
| [상하수도 기술사] dPAO (2) | 2025.07.17 |
| [상하수도 기술사] 생물학적 인 제거 공정의 원리, 미생물의 대사과정 등 (0) | 2025.07.16 |
| [상하수도 기술사] (36일) 수도정비 기본계획 (0) | 2024.08.11 |